Use case:

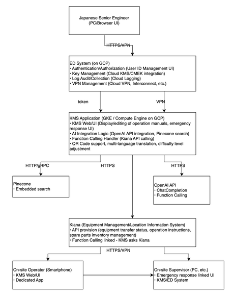
🌐 System Architecture Diagram: AI-Driven Knowledge Management for Cross-Border Operations

The diagram left outlines the architecture of Cosimo’s AI-KMS platform.
Designed to facilitate real-time knowledge transfer, multilingual support, and remote operations management across Japan and Africa.


🔑 Highlights:

 

  • KMS Application on GCP integrates OpenAI & Pinecone for intelligent document generation and search

  • ED System ensures security: VPN control, key management, and role-based authentication

  • Kiana Integration for spatial tracking and equipment-linked logic

  • Mobile support for operators and emergency flow via supervisors and engineers

※ All architectural frameworks, design methodologies, and AI-KMS implementation models presented here are original works by COSIMO LLC, ©2025.


これは、経産省の令和5年度補正グローバルサウス未来志向型共創等助成事業で採択された、日本でその役割を終えた中古プラントを海外に移送してインテリジェント化するというプロジェクトにおいて、IT統合設計中核を為すものです。AI-KMSと空間IoTシステムと統合することによって、現場の即応性と判断力を高めるアフォーダンスを向上させるための設計です。設備資産管理システム、生産管理システムとも連動し、設備機器に貼られたQRコードから過去の作業履歴、次回の作業指示書を表示させ、そこにAI-KMSから注意事項等を表示させる。作業終了後、その情報はAI-KMSにフィードバックされる。何か疑問点やアドバイスが事前に必要な場合には、一次的にはAI-KMSに確認した上で、更なるアドバイスが必要とされる場合には、AI-KMS経由でシニアエンジニアとのコミュニケーションが取れる仕組みになっており、そのやり取りも知識として蓄積されて再活用されて行くものになります。

 

海外への技術移転と国内での世代を跨いだ事業承継。全く異なるようでいて「組織知の継承」という文脈において、重なるところがあると思いませんか?

 

This represents the core IT integration architecture we developed for a project selected under the FY2023 Supplementary Budget of Japan’s Ministry of Economy, Trade and Industry, as part of the “Future-Oriented Co-Creation Program for the Global South.”

The project aimed to transfer a decommissioned plant from Japan to an overseas site and upgrade it into a smart facility. By integrating an AI-powered Knowledge Management System (AI-KMS) with a spatial IoT platform, the goal was to enhance on-site responsiveness and decision-making capabilities.

The system connects asset management and production management platforms. QR codes attached to equipment provide access to historical work logs and upcoming work orders, with contextual guidance and safety instructions generated by the AI-KMS. Upon task completion, all updates are fed back into the AI-KMS.

When clarification or guidance is needed, the AI-KMS serves as the first point of reference. If deeper support is required, it facilitates remote communication with senior engineers. These interactions are continuously captured as reusable knowledge, forming the core of the system’s evolving intelligence.

 


Technology transfer across borders and generational succession within Japan may seem unrelated. But don’t they share a deeper context? "The inheritance of organizational knowledge".

※ All architectural frameworks, design methodologies, and AI-KMS implementation models presented here are original works by COSIMO LLC, ©2025.


📚 Inside the AI-KMS: Knowledge Sources
The AI Knowledge Management System shown earlier connects Japan and Africa through workflows and interfaces—but what does it actually learn from?

 

The diagram left illustrates the structure and content of the knowledge stored inside the KMS, zooming in on the system’s core intelligence layer.

※ All architectural frameworks, design methodologies, and AI-KMS implementation models presented here are original works by COSIMO LLC, ©2025.